Question #6424521Single Choice
Biology
Question
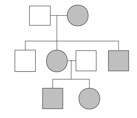
This pedigree tracks an X-linked dominant disorder:
Squares represent males, circles represent females.
Shaded shapes indicate affected individuals.

III-1 and III-2 must have inherited their affected X chromosome from their mother (II-2).
Options
A
True
B
False