Question #6424517Single Choice
Biology
Question
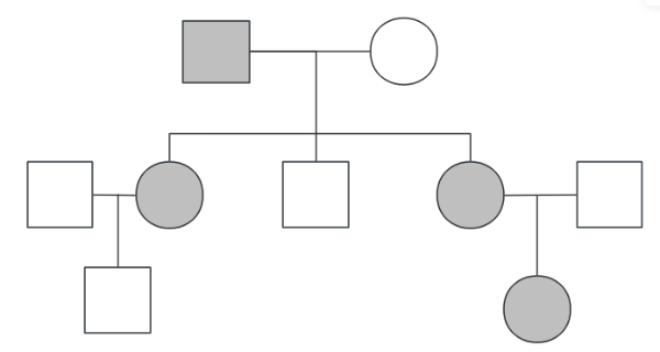
This pedigree tracks a rare X-linked dominant disorder. Squares represent males, circles represent females, and shaded shapes represent affected individuals. Unshaded shapes are unaffected.

Individual II-2 must have inherited a normal X chromosome from I-2.
Options
A
True
B
False
Answer & Analysis
Click "Show Answer" to reveal the answer and analysis
Want More Practice Questions?
Access thousands of practice questions with detailed explanations on Scholardog.
Practice Now - It's Free!