Question #6424515Single Choice
Biology
Question
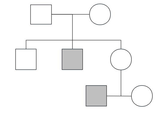
A family pedigree tracks an X-linked recessive disorder. Squares represent males, circles represent females, and shaded shapes represent affected individuals.

Individual I-2 must have passed the affected allele to individual II-2.
Options
A
True
B
False
Answer & Analysis
Click "Show Answer" to reveal the answer and analysis
Want More Practice Questions?
Access thousands of practice questions with detailed explanations on Scholardog.
Practice Now - It's Free!