Question #6424484Single Choice

Biology

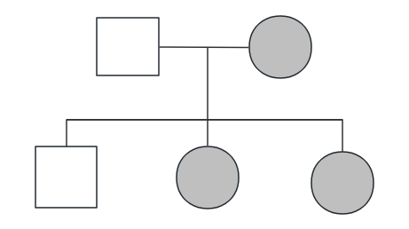
Question

https://img.scholardog.com/ess-files/sat-bms-web/fiex/couser/2024/12/19/09AA1B313DB448458EBD961122CB2A69.png

What is the genotype of individual II-2, an affected female?

Options

A
    
B
    
C
    
D
    

Answer & Analysis