Question #6424451Single Choice

Biology

Question

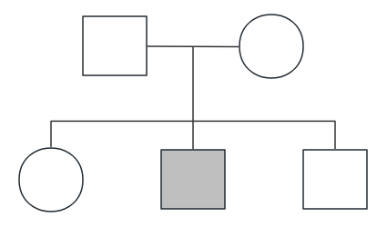
X-linked Recessive

https://img.scholardog.com/ess-files/sat-bms-web/fiex/couser/2024/12/19/2B8E6D34662B4B4792F80ECED8B91966.png

What is the genotype of individual I-2?

Options

A
    
B
    
C
    
D
    

Answer & Analysis