Question #6424448Single Choice

Biology

Question

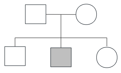
X-linked Recessive

https://img.scholardog.com/ess-files/sat-bms-web/fiex/couser/2024/12/19/8FBA63F7D93E48D2AE3F8CA9AFF6C889.png

What is the genotype of individual II-1?

Options

A
    
B
    
C
    
D
    

Answer & Analysis