Question #6409038Single Choice
Algebra-1
Question
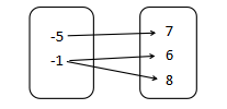
Is the relation a function? Why.

Options
A
Yes, because the x-value -1 has two y-values paired with it.
B
Yes, because each x-value has only one y-value paired with it.
C
No, because each x-value has only one y-value paired with it.
D
No, because the x-value -1 has two y-values paired with it.
Answer & Analysis
Click "Show Answer" to reveal the answer and analysis
Want More Practice Questions?
Access thousands of practice questions with detailed explanations on Scholardog.
Practice Now - It's Free!